
复旦大学、西湖大学等机构的 Xiaopeng Li 团队,通过大规模量子蒙特卡洛模拟,在里德堡原子阵列实现的玻色型 t-J-V 模型中发现双超固体相,揭示其兼具晶格对称性与双 U (1) 对称性破缺的特性及晶体序热增强效应,为掺杂量子磁性研究提供理论指导。
研究背景

里德堡原子光镊阵列凭借长程相互作用调控能力和单原子精度控制,已成为可编程量子模拟的理想平台,为探索复杂量子多体系统的奇异相提供了前所未有的机遇。掺杂量子磁性系统的量子模拟是凝聚态物理的研究热点,其核心在于理解自旋涨落与空穴掺杂的相互作用,这对揭示高温超导机理至关重要。近期实验基于 87Rb 原子的三个里德堡态(61S1/2、60S1/2、60P3/2),实现了玻色型 t-J-V 模型,通过偶极相互作用介导长程空穴隧穿,利用范德华相互作用产生自旋 – 自旋和空穴 – 空穴相互作用,且相互作用强度可通过量子化轴和阵列几何调控。与传统电子 t-J 模型不同,该原子系统允许在反铁磁和铁磁自旋背景下研究空穴动力学,为探索长程相互作用诱导的新奇量子相提供了独特平台。
研究内容
科学家通过大规模量子蒙特卡洛(QMC)模拟,系统研究了二维方形晶格上玻色型 t-J-V 模型的基态相图及有限温度特性。模型哈密顿量包含三部分:空穴隧穿项(t,与距离三次方成反比)、自旋 – 自旋相互作用项(Jz、J⊥,与距离六次方成反比)和空穴 – 空穴排斥项(V,与距离六次方成反比),并满足局域硬核约束(每个格点仅允许一个自旋或空穴占据),守恒空穴数和总磁化强度两个 U (1) 对称性。模拟采用随机级数展开(SSE)结合定向回路算法,通过退火技术克服小隧穿强度下的采样效率问题,在 L×L 晶格(L=10-40)上探究 t-V 参数空间的相图结构,并通过有限温度模拟分析双超固体相的热稳定性。
研究结果



总结和展望
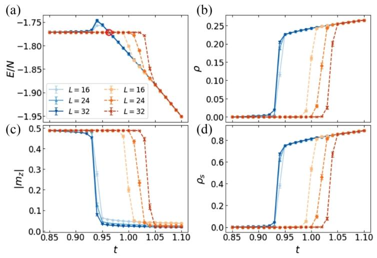
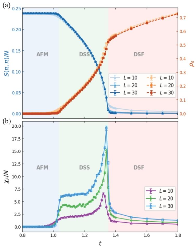
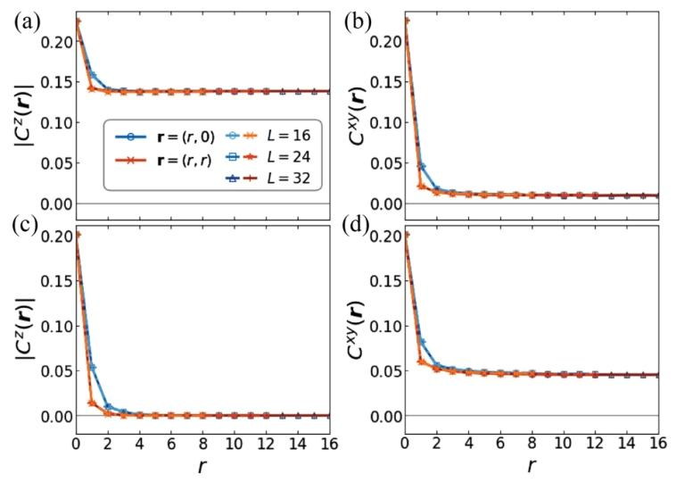
本研究首次在里德堡原子实现的玻色型 t-J-V 模型中预言了双超固体相的存在,揭示了长程相互作用、空穴隧穿与自旋关联共同作用下的新奇量子序。本研究通过大规模量子蒙特卡洛(QMC)模拟,首次系统揭示了里德伯原子阵列实现的玻色型 t-J-V 模型的丰富基态相图,核心成果在于发现了新颖的双超固体(DSS)相。该相图在强空穴 – 空穴排斥作用(V≥3.0)下形成,介于反铁磁(AFM)绝缘相与双超流(DSF)相之间,其本质是晶格对称性与两个 U (1) 对称性(空穴数守恒、总磁化强度守恒)的同时自发破缺,表现为面外反铁磁序、面内铁磁序与空穴超流性的共存。研究还证实了 DSS 相的热稳定性,其在低温区间(T<0.5)保持序参量稳定,且出现独特的 “热补偿有序” 现象 —— 在 T≤0.5 范围内,自旋结构因子随温度升高而增强,这一 counterintuitive 特性源于空穴局域化导致的自旋 – 自旋关联强化。此外,明确了 AFM 相与 DSF 相间为一级相变,DSS 相与 DSF 相间为连续相变,为实验验证提供了清晰的相变判据。
点击底部阅读原文直达论文首页
~END~
点击直达“全量子社区”
温馨提示:
商务(广告)合作请后台留言。
我们致力于保护作者权益,如有版权问题请与我们联系。
0 条评论