All-Q
2025.12
论文快讯
NEWS

深圳大学、南方科技大学、中国计量大学等机构的研究团队,提出并在核磁共振平台上实验验证了一种基于量子芝诺动力学(QZD)的鲁棒量子计量方案,通过引入强粒子间相互作用,克服了传统 QZD 研究的单粒子系统限制与编码干扰问题,实现了振幅阻尼噪声下的近最优精度测量,为抗噪声量子计量提供了高效策略。
===导读===

研究背景
量子芝诺效应(QZE)作为量子力学中的基本现象,通过频繁投影测量可冻结量子态演化,其延伸的量子芝诺动力学(QZD)能将系统演化限制在受保护的芝诺子空间内,具备内在抗噪声能力,为量子信息保护提供了重要思路。量子计量借助多粒子纠缠可实现前所未有的参数估计精度,然而 QZD 在量子计量中的应用面临两大核心挑战:一是传统 QZD 研究多局限于单粒子系统,难以适配多粒子量子计量框架;二是实现 QZD 所需的额外测量、控制或耦合可能导致编码动力学非对易,干扰参数编码过程,降低计量精度,如何在发挥 QZD 抗噪声能力的同时保证其与计量过程的兼容性,成为亟待解决的关键问题。

技术方案
针对上述挑战,研究团队提出了一种在编码过程中引入量子比特间强耦合的 QZD 实现策略。该策略无需额外控制或频繁测量,仅通过利用量子系统自身的粒子间相互作用(如核磁共振系统中的自然耦合、超导电路中的可编程耦合)即可构建芝诺子空间,特别适用于多量子比特系统。
从理论框架来看,QZD 可通过两种途径实现:一是在演化过程中插入大量投影测量,当测量次数趋于无穷时,系统演化被限制在芝诺子空间内;二是通过引入强连续耦合,当耦合强度趋于无穷时,形成动力学超选择规则,使芝诺子空间成为孤立的本征空间。团队证明,通过合理设计耦合哈密顿量,可使计量最优子空间(由编码哈密顿量的最小和最大本征态张成)成为芝诺子空间,且耦合哈密顿量与编码哈密顿量满足对易条件,确保 QZD 既不影响计量信号,又能抑制噪声诱导的子空间泄漏。
在具体实现中,团队以多量子比特拉姆齐干涉仪为典型场景,选择格林伯格 – 霍恩 – 蔡林格(GHZ)态作为最优探测态,通过偶极耦合、伊辛耦合等四种常见的近邻相互作用构建 QZD,其中除标量耦合外,其余三种耦合均能有效构建目标芝诺子空间,抑制噪声泄漏。

研究结果
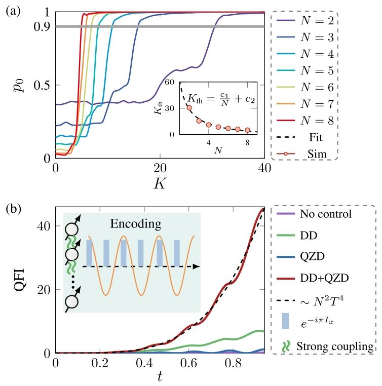
研究团队在室温 300 MHz 核磁共振谱仪上开展实验,以 13C 标记的反式巴豆酸溶解在氘代丙酮中作为样品,其四个 13C 核自旋作为四量子比特量子传感器。实验流程包括:通过哈达玛门和 CNOT 门制备 GHZ 态;在编码过程中引入伊辛耦合实现 QZD,同时通过浴工程模拟振幅阻尼噪声;利用多相干测量提取量子态相位信息,完成参数估计。
实验结果显示,在并行计量设置中,无 QZD 时量子态在编码过程中出现明显退相干,而引入 QZD 后,退相干率从 1.0 Hz 显著抑制至 0.1 Hz,最优编码时间延长至整个实验周期,测量精度接近海森堡极限,相较于传统方案实现了根号 N 量级的精度提升(N 为量子比特数)。在序贯计量设置中,固定 4 个量子比特,将编码时间延长至两倍实验周期,QZD 方案的测量精度持续提升,最终达到与 8 个量子比特并行计量相当的精度水平,验证了该方案在有限物理资源下通过时间维度拓展实现高精度测量的潜力。量子态层析结果表明,QZD 能有效保护 GHZ 态,使最终态与无噪声理想态的保真度大幅提升。

科学意义
数值模拟进一步验证了该方案的可扩展性:对于二次塞曼型耦合,实现 QZD 所需的临界耦合强度随量子比特数 N 的增加呈反比衰减,表明系统规模越大,所需耦合强度越低,为大规模多量子比特系统的应用奠定了基础。此外,团队还探索了 QZD 与动态解耦技术的结合,结果显示,该集成方案可同时抑制横向振幅阻尼噪声和相位阻尼噪声,在交流场频率估计中恢复最优量子费希尔信息标度,为应对更复杂的噪声环境提供了可行路径。
该研究首次在实验上验证了多粒子系统中 QZD 与量子计量的兼容性,其提出的强耦合实现策略适用于多种量子传感器平台,不仅为量子计量提供了抗噪声新方法,也为 QZD 在量子计算、量子通信等其他量子信息处理任务中的广泛应用提供了参考,有望推动量子技术在实际噪声环境中的实用化进程。
END
免责声明:本公众号发布的所有内容,包括但不限于文字、图片、图表、标志、标识、广告、域名、软件、程序等,除特别标明外,均来源于网络或用户投稿,版权归原作者或原出处所有,且本文已标注出处。我们致力于保护原作者版权,若涉及版权问题,请及时联系我们进行处理。
0 条评论